Illumina NovaSeq X Plus
Illumina NovaSeq 6000
NextSeq? 2000
PacBio revio
MGI DNBSEQ-T7
PromethION 24
Chromium controller
Chromium X
Visium CytAssist
Xenium
MobiNova?-100
CytOFLEX SRT 細胞分選儀
Orbitrap Astral
timsTOF Pro
Orbitrap Exploris? 120
Q Exactive HF-X
AB SCIEX QTRAP 6500+
LECO Pegasus HT TOFMS
基因結構及表達圖
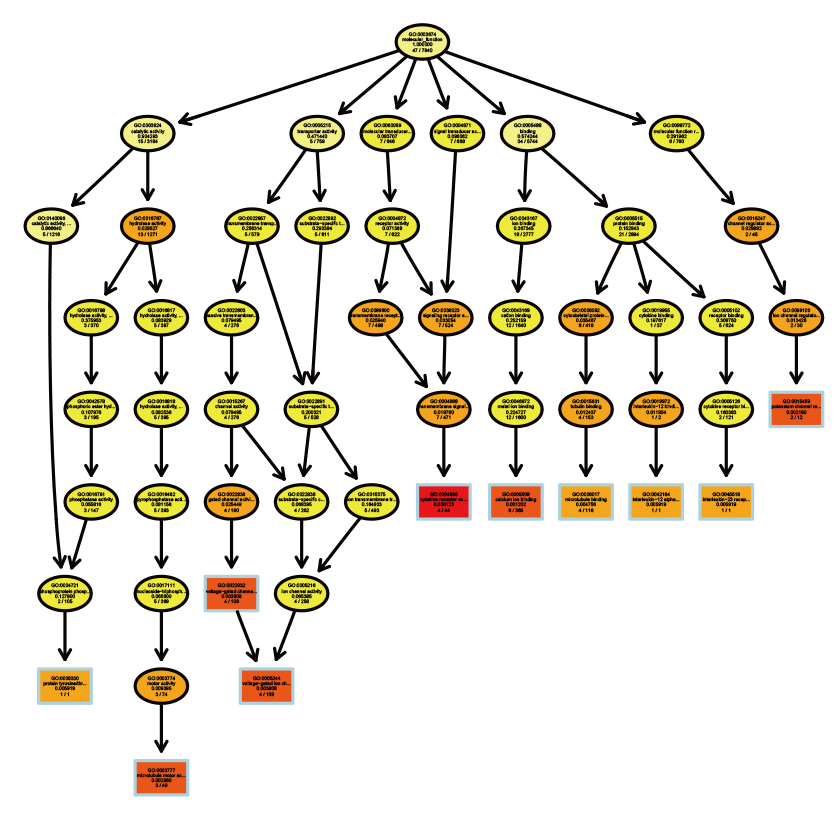
GO 有向無環圖