2017-07-07

派森諾生物與上海交通大學農業與生物學院孟和教授團隊合作,在《Frontiers in Microbiology》(最新影響因子:4.076)發表最新研究成果,揭示腸道菌群與宿主體液免疫的互作關系和共進化特征。
1 研究背景
宿主體液免疫即以B細胞產生抗體,用以保護宿主的為目的的免疫機制;而腸道菌群與宿主長期相互適應并共進化,形成了復雜而又緊密的相互作用,共同構成一個密不可分的整體。目前已有報道腸道菌群參與宿主免疫調節機制,但體液免疫和腸道微生物的抗體反應如何相互調節尚不得而知。本研究用綿羊紅細胞作為抗原處理模型生物雞,經過40代免疫差異選擇,探尋宿主體液免疫與腸道菌群間的互作關系。
2 研究方法
測序技術:Illumina MiSeq高通量測序平臺
測序模式:微生物組16S rRNA基因V4區測序
樣本來源:白來航雞腸道
實驗設計:嚴格選育高抗反應組(HAS),嚴格選育低抗反應組(LAS);非嚴格選育高抗反應組(HAR),非嚴格選育低抗反應組(LAR)
3 研究結果
114個樣品經Illmina MiSeq平臺測序,共產出8927926條序列,平均每個樣品78315條;序列平均長度227bp;在這些樣本中,總共發現了19個門、41個綱、66個目、117個科和223個屬微生物。
3.1 長期宿主抗體差異選擇對腸道菌群結構的影響

經長期宿主抗體差異選擇,高抗組與低抗組在腸道菌群組成中表現出明顯的差異;其中圖A為經傳代培養的嚴格與非嚴格選育的高抗組與抵抗組樣品變化趨勢;圖B中通過CAP主坐標典型相關分析可以看出4個處理組中腸道菌群組成存在顯著差異;圖C中分別顯示的是高抗組與抵抗組中主要存在的優勢菌群。
3.2 與宿主抗體反應的相關微生物


LEfSe分析分別顯示嚴格與非嚴格選育高抗組與抵抗組間差異顯著的菌群,其中門水平有2個物種在HAS與LAS組中顯著差異,有4個物種在HAR與LAR組中存在顯著差異;屬水平中21個物種在HAS與LAS組中存在顯著差異,35個物種在HAR與LAR組中存在顯著差異。

基于屬水平物種豐度,Anaerobiospirillum、Coprococcus、Oscillospira、Sutterella在HAR組中顯著增加;Lactobacillus與Pseudomonas在LAR組顯著增加;同時Pseudomonas與Erwinia在HAS組中顯著降低;Sporosarcina與Coprococcus在LAS組中顯著降低;基于PICRUSt軟件進行腸道菌群代謝功能預測,發現在內分泌系統功能、排泄系統功能等在高抗體組中豐度顯著高于抵抗組;免疫系統疾病、傳染性疾病在抵抗體組中顯著富集。
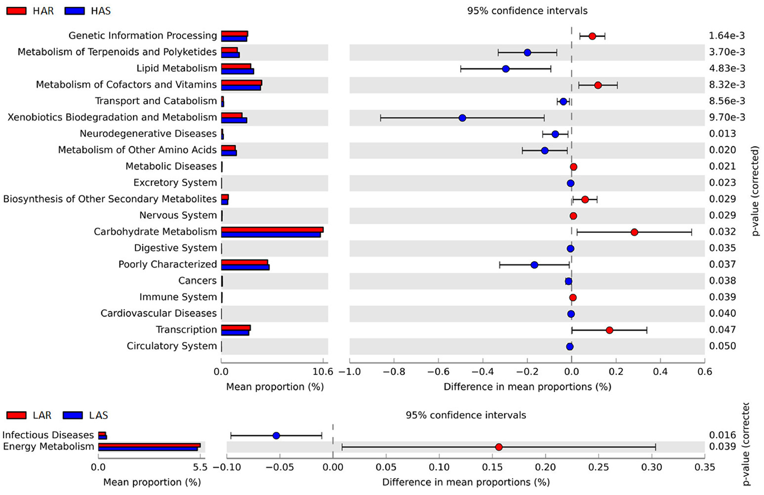
3.3 嚴格與非嚴格選育腸道菌群動態變化


LEfSe分析分別顯示其高抗組與抵抗組中的嚴格選育及非嚴格選育間的顯著差異菌群,其中門水平中有8個物種在HAS與HAR組中顯著差異,但僅有一個物種在LAS與LAR組中存在顯著差異;屬水平中39個物種在HAS與HAR組中存在顯著差異,27個物種在LAS與LAR組中存在顯著差異。

基于PICRUSt軟件進行腸道菌群代謝功能預測,并通過STAMP軟件計算組間功能通路豐度差異;其中在非嚴格選育組中能量代謝、代謝類型疾病等功能通路顯著富集;脂代謝、傳染性疾病等功能通路在嚴格選育中顯著富集。
4 研究結論
研究人員用雞作為模型生物,研究宿主免疫與腸道微生物兩者的互作關系和共進化特征。研究表明,腸道菌群與宿主免疫進化間存在共同促進的作用;菌群代謝功能預測分析結果同樣表明,兩組在免疫系統及傳染性疾病途徑中均存在顯著改變。基于上述發現,本研究首次提出了腸道菌群和宿主體液免疫的共同微進化(Co-microevolution)的概念。
本研究的測序和數據分析工作由上海派森諾生物科技股份有限公司完成。
參考文獻
Yang L, Liu S, Meng H, et al. [J]. Frontiers in Microbiology, 2017.
