2017-08-03
高羊茅(拉丁名:Festucaarundinacea),屬禾本目,禾本科多年生地被植物,在溫帶地區廣泛種植,按功能用途可分草坪型(觀賞)和牧草型(作為牧草飼養牲畜)。高羊茅是六倍體異型雜交物種,可以抵御多種非生物脅迫并且能在多種不同土壤和氣候條件下生長,更有趣的是,高羊茅可以抵抗和吸收多種重金屬尤其是鋁。有研究表明,在被鋁污染的環境或土壤中,高羊茅可以大量吸收鋁卻不會中毒。近期的研究發現,不同基因型的高羊茅,其耐受和吸收鋁的能力也不相同,為了在轉錄調控水平上探究高羊茅對鋁脅迫的響應機理,中科院武漢植物園課題組選取了兩種不同的高羊茅基因型:耐受型Silverado和敏感型AST7001進行無參轉錄組測序。測序數據過濾后Silverado型共捕獲到131,000,000 條clean reads,AST7001型共捕獲到128,000,000條clean reads。
該研究成果Transcriptome profilings of two tall fescue (Festuca arundinacea) cultivars in response to lead (Pb) stress于2017年2月10日發表在BMC Genomics雜志上。高羊茅的轉錄組測序及信息分析工作,由上海派森諾生物科技股份有限公司完成。
方法:選取耐受型和敏感型高羊茅,取鋁脅迫后0h、4h和48h葉片組織進行轉錄組測序
測序平臺:Illumina HiSeq平臺
分析內容:
1. 功能基因注釋和分類
2. 差異表達基因分析
3. GO注釋
4. eggNOG
5. 差異基因聚類分析
6. KEGG注釋
7. qPCR驗證
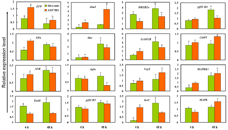
結果:GO分析結果顯示,鋁脅迫引起的差異表達基因主要富集在代謝過程,細胞過程,生物學過程和脅迫響應中。COG聚類分析顯示,18,570條 unigenes 聚類到26個COG分類中。較多的COG分類包括未知功能,信號轉導機制,蛋白轉譯后修飾等。差異基因分析顯示,與對照組相比,鋁處理組中Silverado 型發現1933個差異基因,AST7001型發現1763個差異基因。本研究選取16個候選基因進行qPCR驗證,發現不同時間鋁脅迫會導致兩個品系中Met、DREB2a 和ZFP三個基因顯著差異表達,TPX、ANK,、TreH 、gtfIIH4、Aglu 、COPT、Vegs、SerC 、MAPKK1和GAMYB 這十個基因在不同品系和時間下差異表達,實驗結果與轉錄組測序結果吻合。KEGG聚類分析結果表明,鋁脅迫后,兩個品系中萜類化合物和聚酮化合物兩個代謝通路中有28個unigennes差異表達,其余差異基因分別聚類于光合作用、光合固碳作用、甲烷代謝等能量代謝相關通路中。
結果展示:

圖1 兩個品系高羊茅GO注釋圖
圖2 eggNOG基因功能注釋
圖3 差異基因聚類分析
圖4 差異表達基因venn圖
圖5 qPCR結果驗證圖
圖6 光合作用通路差異基因分析
參考文獻:
Li H, Hu T, Amombo E, et al. Transcriptome profilings of two tall fescue (Festuca arundinacea) cultivars in response to lead (Pb) stress:[J]. Bmc Genomics, 2017, 18(1):145. DOI:10.1186/s12864-016-3479-3
