2017-08-24
益生菌是我們腸道中的“原著居民”,維持著腸道內免疫系統的平衡與穩定。在漫長的研究歷史中發現,益生菌在治療和預防腹瀉、腸炎性疾病和部分免疫疾病上具有一定的作用。最近的研究也發現,乳桿菌和雙歧桿菌還可以對一些心理障礙患者起到治療作用。今天,我們的主角是干酪乳桿菌Lactobacillus casei,它是一種非常常見的益生菌,常用于食品發酵行業,與嗜酸乳桿菌和雙歧桿菌并稱為“健康三益菌”,一直是益生菌功能研究的重點對象。最近,在《Frontiers in immunology》(影響因子6.429)上發表了一篇關于干酪乳桿菌全基因組測序的文章,闡述了益生菌L. casei LC5的相關基因信息。
研究背景:
L. casei LC5具有一定的免疫調節功能,特別是對于過敏性皮炎有很好的治療效果。目前,有200多株乳桿菌已經完成了全基因組測序工作,但L. casei作為與人體健康密切相關的益生菌,其可參考的完整基因組數量非常有限。本篇文章旨在對L. casei基因組進行比較研究,明確L. casei LC5的分類學關系及其功能特征。
測序平臺:PacBio RS II平臺
研究結果:
1、L. casei LC5基本基因組特征
通過第三代測序平臺獲得L. casei LC5的全基因組,基因組大小為3,132,867 bp,GC含量47.9%,編碼蛋白序列為2,817個。
目前,NCBI上公布了37株干酪乳桿菌全基因組序列,可以將這些基因組根據GC含量分為兩類,一類為高GC組,GC含量可以達到47.7-47.9%,另一類為低GC組,GC含量在46.2-46.6%范圍內。其中,L. casei LC5與其它五種L.casei屬于高GC組。除此之外,干酪乳桿菌組的其它菌株(Lactobacillus paracasei、Lactobacillus zeae和Lactobacillus rhamnosus)也存在這種規律。
2、L. casei的基因組比較分析
選取19株干酪乳桿菌基因組(10株L. casei,7株L. paracasei,1株L. zeae和1株L. rhamnosus)與菌株LC5進行比較分析。基于16S rRNA基因的系統進化分析發現,高GC組和低GC組間的系統發育距離高于0.003,而組內均低于0.001。ANI分析也表明,高GC組內的ANI值均高于94%,而高GC組和低GC組間的ANI值低于80%。
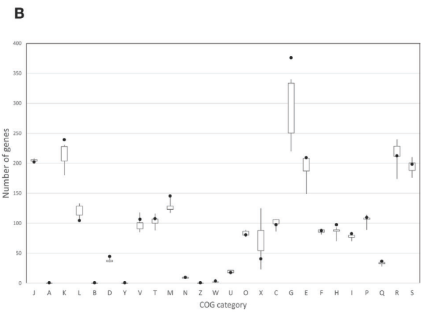
3、功能分類
通過與19個L. casei基因組的COG功能比較發現,L. casei LC5在G和K兩個功能分類上,擁有的蛋白數量明顯高于其它基因組,分別代表碳水化合物轉運與代謝和轉錄相關功能。
結論
之前研究發現,發酵乳制品中分離的益生菌L. casei LC5對過敏性皮炎表現出很好的治療作用。本文通過對菌株LC5與19個相關菌株的比較基因組分析,闡述了該益生菌的基因組概況和基因組特征。該基因組數據有利于了解能夠緩解免疫疾病癥狀的微生物,促進功能性益生菌的開發并可用于免疫疾病的治療。
文章索引
Kang J, Chung W-H, Lim T-J, Whon TW, Lim S, Nam Y-D. Complete genome sequence of Lactobacillus casei LC5, a potential probiotics for atopic dermatitis. Frontiers in Immunology, 2017, 8: 413.
