2017-09-14
DNA甲基化是植物表觀遺傳的一種重要形式,包括異染色質和影響基因表達兩種方式。DNA甲基化引起的大量變異已經被揭露。然而,開花植物的DNA甲基化修飾尚不清楚。國際著名學術期刊Genome Biology在線發表了美國佐治亞大學研究組的題為“Widespread natural variation of DNAmethylation within angiosperms”研究論文。Niederhuth等通過DNA甲基化測序比較了34個不同被子植物的單堿基分辨率全基因組DNA甲基化圖譜。
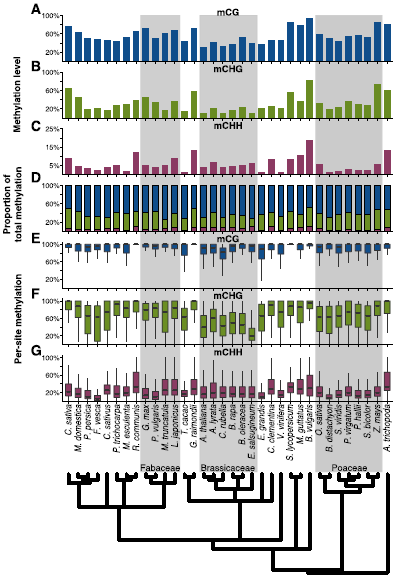
1 全基因組DNA甲基化修飾
圖1a-c全基因組甲基化水平最終提供了一個不同物種的比較標準;圖1d揭示不同的DNA甲基化修飾方式的組成比例,各物種之間mCG修飾方式最普遍存在,其次為mCHG和mCHH;圖1e-g顯示每個位點的DNA甲基化水平分布規律,揭示了細胞被甲基化的比例。可將以上植物分為三類家族:
(1) Brassicaceae家族:每個位點發生mCHG甲基化的水平較低,CMT3路徑對Brassicaceae家族植物的基因組影響較小;
(2) Fabaceae家族:每個位點發生mCHH甲基化的水平較低;
(3) Poaceae家族:雖然有CMT2存在,但是mCHH路徑效率較低可能直接導致每個位點發生mCHH甲基化的水平更低;
2. DNA甲基化的基因組結構
DNA甲基化往往會引起異染色質。導致基因組大小變化的主要一兩個因素,全基因組重復(WGD)事件和重復元件的重復。本研究發現,mCG以及mCHG和基因組大小之間存在正相關,但是mCHH和基因組大小無關(圖2a)。同時發現,編碼區mCHG和mCHH甲基化水平和基因組大小有關,而mCG和基因組大小無關(圖2b)。著絲粒和著絲粒區域是DNA甲基化最頻發的區域。用100kb的滑動窗口檢測染色體上DNA甲基化分布(圖2c)。mCG和mCHG和DNA甲基化及基因數量存在負相關,也就是說這兩種DNA甲基化形式在異染色質區頻發(圖2d)。然而,幾個Poaceae家族的物種基因數量和mCHH水平無關甚至正相關(圖2d)。
圖1. 全基因組甲基化水平
3. 重復序列的DNA甲基化
全基因組mCG和mCHG水平和重復元件的增殖有關,而mCHH水平和重復元件的增殖無關(圖3a)。CDS區mCHG和mCHH與重復元件數量有關,而CDS區mCG和其無關。在所有物種中,CG區域常被甲基化,但CHG和CHH區域甲基化頻率更高(圖3b)。mCHG在大多數物種的重復區域頻發,除了Brassicaceae家族物種之外,同時,mCHH在Poaceae家族物種中最少(圖3c)。
圖2. DNA甲基化和基因組的關系
4. CG基因甲基化
三種甲基化形式都和基因的過表達有關,基因發生mCG甲基化也會繼續表達。圖4a顯示,所有物種同源基因的DNA甲基化。圖4b統計了所有物種中gbM基因的百分比。GbM基因即在轉錄起始位點(TSS)周圍DNA甲基化急劇下降、整個基因mCG甲基化增加以及在轉錄終止位點(TTS)形成的。GbM基因在大多數物種中顯示出一致的甲基化趨勢(圖4c)。基因的過表達表明,盡管位于基因區的mCG沒有抑制基因表達,但是當它在TSS區時就會一直基因表達(圖4d)。
5. 非CG甲基化基因
基因內存在非CG甲基化會使得基因過表達。基因的mCHG和mCHH甲基化方式類似。基因的mCHG和mCHH甲基化方式和基因表達水平下降有關(圖5b),mCHG可以單獨影響基因表達水平的下調。基因發生非CG甲基化的概率為3-32%(圖5c)。在Poaceae物種中,發生mCHG甲基化的基因占5%。而在Brassicaceae物種中mCHG方式較少,而mCHH為主要的甲基化方式。
圖3. 全基因組甲基化水平
6. 非編碼序列和調控區
在編碼區外,結合鄰近的轉錄因子結合位點(TFBS)或者其他調控元件發生DNA甲基化來影響基因的表達。我們驗證了所有物種非編碼區(CNS)DNA甲基化水平(圖6a),三種形式甲基化的水平都較高。每個物種注釋基因上下游2kb區域進行mCHH島分析,發現所占比例(圖6b)。雖然一些物種的mCHH和基因表達存在一定的關系,但是大多數沒有關系(圖6c)。基因mCHH島的遠極面mCG和mCHG甲基化頻發(圖6d)。
圖4. 基因過表達影響因素
圖5. 基因的甲基化水平
圖6. 非編碼序列的甲基化模式
總結
本研究揭示了DNA甲基化廣泛存在于十字花科植物。鑒定了開花植物的DNA甲基化圖譜,揭示出這些表觀遺傳標記與植物進化歷史之間的關系。利用全基因組亞硫酸氫鹽測序來評估34種被子植物的胞嘧啶甲基化模式。對于十字花科植物,它包括模式生物擬南芥及甘藍,研究人員發現基因體上CG甲基化水平低于平常;對于禾本科開花植物,研究人員發現異染色質CHH甲基化的缺乏或減少,但CHH甲基化集中在基因區域上;開花植物之間存在廣泛的DNA甲基化差異。無論是DNA甲基化的水平,還是DNA甲基化的分布,各個物種之間都存在廣泛的差異。
參考文獻
Niederhuth C E, Bewick A J, Ji L, et al. Widespread natural variation of DNA methylation within angiosperms[J]. Genome Biology, 2016, 17(1):194.
