2018-01-31
番茄(Solanum lycopersicum)是研究果實生物學的既定模型;然而,大多數對番茄果實生長和成熟的研究都是基于均質果皮,而不考慮個體細胞和組織類型的內部組織或表達特征。使用激光顯微切割(LM)或手分離和RNA-Seq分析,作者提出了一個番茄果子個體發生學上的時空解決轉錄組分析。監管和結構基因網絡,包括轉錄因子家族和激素合成和信號傳導途徑,定義在組織和發育光譜。成熟程序揭示為包括基因表達的梯度,在內部組織中開始然后向外輻射,并沿著緯度軸向基本上。作者還確定了疊加在成熟梯度上的表觀遺傳控制模式的空間變化。功能研究闡明了先前掩蓋的調控現象和關系,包括與果實品質性狀(如質地,顏色,香氣和代謝物特征)相關的現象。
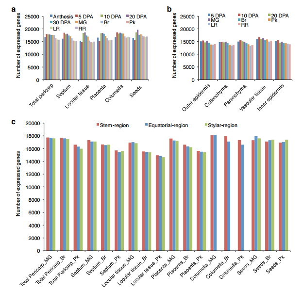
實驗材料:在開花期(DPA)受精后的5,10,20或30天時收獲膨脹的果實。成熟期和成熟的果實MG階段(全尺寸綠色果實,約39 DPA),Br階段(約42 DPA,確定打破從綠色到黃褐色,表面少于10%),Pk階段(50%粉紅色或紅色,大約Br + 2天),淡紅色(LR)階段(100%光照)紅色,約Br + 4天),紅色成熟(RR)階段(約Br+8天全紅)。每天在同一時間從60個隨機選擇的單株上收集子房和果實樣品。通過使用激光顯微切割(LM)或手分離的方法獲得六個主要的果實組織,包括果皮,隔膜,周圍組織,胎盤,小柱,以及種子(這里分類為組織型)。
測序平臺:Illumina HiSeq2500
基于組織或細胞類型的發育中番茄果實的RNA-Seq。
通過來自六種主要果實組織(圖1a)和五種果皮細胞/組織類型的LM衍生的或手工解剖的樣品的RNA測序(RNA-Seq)產生轉錄組數據,共同跨越10個發育階段的果實赤道地區(圖1c)。果實組織在早熟和早熟期也分離自不同的緯度部分:在后者中,果皮端部的果皮中可觀察到與成熟相關的顏色變化(圖1d)。
圖1 進行RNA測序的番茄組織及細胞材料
對來自總共483個樣品的RNA-Seq數據進行總結。在6個果實組織和5個果皮LM樣品中,在發育過程中的某一點至少有一種組織/細胞類型分別表達了24506和20732個基因(平均RPM≥1),但通常在果實膨大期間檢測到更多(圖2),幾乎一半的基因在六種果實組織(10328個基因;42%)或五種果皮細胞/組織類型(9842基因;47%)。相反,相對較少的基因在整個發育過程中表現出組織/細胞特異性表達:在組織樣品中的最大亞組(1189;4.9%)和果皮細胞/組織類型中的維管組織中(950;4.7%)(圖3)。這與種子內組織的高度分化和功能特化以及形成血管組織的多種不同細胞類型一致。
圖2 果實組織/細胞類型表達基因數目
圖3 果實組織/細胞類型中表達基因的分布
在解剖的果皮細胞/組織樣品中表達的20732個基因中,在總果皮樣品中也檢測到19494個,這意味著在總果皮樣品中未鑒定到1238個基因(6.4%)。僅通過LM檢測到的這1238個基因的表達水平相對較低(圖4a)。在總果皮中檢測到的19494個基因中,總共只有5.0%(從長角骨的0.2%到維管組織中的2.6%)顯示細胞或組織特異性表達(圖4b)。相反,僅通過LM檢測到的1238個基因中,64%顯示出空間特異性表達(從長角骨的2.5%到維管組織中的35%;圖4c)。這些數據表明使用高分辨率轉錄組測序使我們能夠檢測在某些果皮細胞類型中僅以低量存在的轉錄物,并且在總果皮樣品中過度稀釋。
RNA-Seq的主成分分析(PCA)揭示了基于發育階段,對應于果實赤道地區的組織或細胞類型的轉錄譜的清晰聚類(圖5)。
圖4 通過LM確定的基因表達譜

圖5 6種果實組織和5種果皮組織/細胞的PCA分析
高分辨率的基因共表達網絡與果實品質性狀相關的基因的高分辨率轉錄分析。
使用全局轉錄本分析的共表達分析允許識別功能相關的基因網絡,而更高級的時空數據集應該導致更嚴格定義的網絡預測。為了檢驗這個想法,作者首先使用了一種指導基因的方法,并尋找與查爾酮合成酶基因SlCHS-2共表達的基因。SlCHS-2在外表皮細胞中表現出優先表達,其在成熟開始后增加(圖6a)。在30DPA之后,在種子中也檢測到了SlCHS-2的表達(圖6b)。圖7展示了與SlCHS-2共同表達的前10個基因(SCC = 0.74-0.85)。
圖6 SlCHS-2在果皮細胞/組織類型和種子中的表達

圖7表達多維數據集展示SlCHS-2和共表達基因的表達
預測生長素信號中的蛋白質相互作用。
全球共表達數據也提供了一個機會來確定功能性蛋白質-蛋白質相互作用可能發生的條件,組織/細胞和發育階段。作者對不同的組織/細胞類型和發育階段進行了21個ARF和24個Aux / IAA基因的成對表達分析3738。在所有的ARF-Aux / IAA組合中,SlARF4和SlIAA15之間的相關性最高(Pearson相關系數(PCC)= 0.78)。預測并證實大家族成員SlARF4和SlIAA15蛋白之間的相互作用,說明高分辨率時空表達信息如何促進相互作用蛋白伙伴的預測和實驗驗證。

圖8 生長素信號相關的成對相關分數熱圖
參考文獻:
Shinozaki Y, Nicolas P, Fernandez-PozoN,et al.High-resolutionspatiotemporal transcriptome mapping of tomato fruit development and ripening.Nat Commun. 2018 Jan 25;9(1):364.
